Home
Textbook Solution
Solutions
_Electrical
_Electronics
_Civil
_Physics
_Maths
About us
_Copyright Disclaimer
_Contact us
_Privacy Policy
_Teams of Service
Solution
Engineering Mechanic (Dynamics)
Chapter 12
Exercise 208
Follow us
facebook
whatsapp
instagram
youtube
Popular Posts
J-Loaded
introductory Linear algebra 11th edition chapter 1
(P1.16A)-In Exercises 15–16, each linear system has infinitely many solutions....
August 31, 2022
0
J-Loaded
Engineering Mechanic Chapter 12
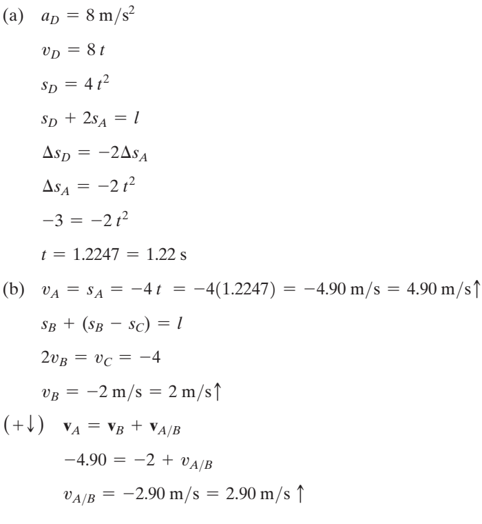
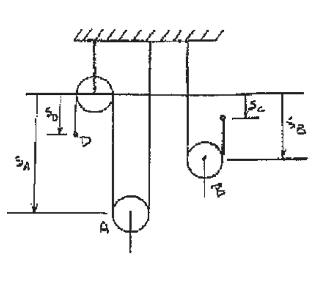
(12.210)-The 16-ft-long cord is attached to the pin at C and passes over the two pulleys at A and D. The pulley at A is attached....
September 27, 2022
0
J-Loaded
Engineering Mechanic Chapter 12
(12.211)-The roller at A is moving with a velocity of vA = 4 m/s and has an acceleration of aA = 2 m/s2 when xA = 3 m...
September 27, 2022
0
J-Loaded
Engineering Mechanic Chapter 12
(12.209)-The cord is attached to the pin at C and passes over the two pulleys at A and D. The pulley at A.....
September 28, 2022
0
Contact form
To Top