Solution

Engineering Mechanics (Dynamics)

Chapter 12

Exercise 217

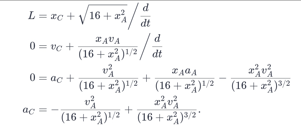
Step 1

Step 2


Step 3

Step 4




Answer

1.2 m/s, up.

a_C = 0.51 m/s^2, up.


To Top