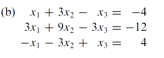
(P1.15B)-In Exercises 15–16, each linear system has infinitely many solutions. Use parametric equations to describe its solution set.
|
(P1.15B)-In Exercises 15–16, each linear system has infinitely many solutions. Use parametric equations to describe its solution set.
|